較常用電源設計10個公式解析! |
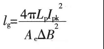
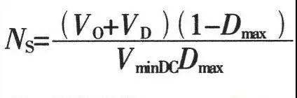
1.MOSFET開關管工作的大占空比Dmax:![]() 式中:Vor為副邊折射到原邊的反射電壓,當輸入為AC 220V時反射電壓為135V;VminDC為整流后的較低直流電壓; VDS為MOSFET功率管導通時D與S極間電壓,一般取10V。 2.電源適配器變壓器原邊繞組電流峰值IPK為: ![]() 式中:η為變壓器的轉換效率;Po為輸出額定功率,單位為W。 3.電源適配器變壓器原邊電感量LP為: ![]() 式中:Ts為開關管的周期(s);LP單位為H。 4.電源適配器變壓器的氣隙lg為: ![]() 式中:Ae為磁芯的有效截面積(cm2);△B為磁芯工作磁感應強度變化值(T);Lp單位取H,IPK單位取A,lg單位為mm。 5.電源適配器變壓器磁芯 反激式變換器功率通常較小,一般選用鐵氧體磁芯作為變壓器磁芯,其功率容量AP為 ![]() 式中:AQ為磁芯窗口面積,單位為cm2;Ae為磁芯的有效截面積,單位為cm2;Po是變壓器的標稱輸出功率,單位為W;fs為開關管的 開關頻率;Bm為磁芯較大磁感應強度,單位為T;δ為線圈導線的電流密度,通常取200~300A/cm2,η是變壓器的轉換效率;Km為窗口填充系數, 一般為0.2~0.4;KC為磁芯的填充系數,對于鐵氧體為1.0。 根據求得的AP值選擇余量稍大的磁芯,一般盡量選擇窗口長寬之比較大的磁芯,這樣磁芯的窗口有效使用系數較高,同時可以減少漏感。 6.電源適配器變壓器原邊匝數NP ![]() 式中:△B為磁芯工作磁感應強度變化值(T),Ae單位為cm2,Ts單位為s。 7.電源適配器變壓器副邊匝數NS ![]() 式中:VD為變壓器二次側整流二極管導通的正向壓降。 8.電源適配器功率開關管的選擇 ![]() 開關管的較小電壓應力UDS 一般選擇DS間擊穿電壓應比式(9)計算值稍大的MOSFET功率管。 9.繞組銅耗PCU ![]() 原、副邊繞組電阻值可通過求繞組電阻值R的公式求出,當求原邊繞組銅耗時,電流用原邊峰值電流IPK來計算;求副邊繞組銅耗時,電流用輸出電流Io來計算。 10.磁芯損耗 磁芯損耗取決于工作頻率、工作磁感應強度、電路工作狀態和所選用的磁芯材料的性能。對于雙極性開關變壓器,磁芯損耗PC: ![]() 式中:Pb為在工作頻率、工作磁感應強度下單位質量的磁芯損耗(W/kg); Gc為磁芯質量(Kg)。 對于單極性開關變壓器,由于磁芯工作于磁滯回線的半區,所以磁芯損耗約為雙極性開關變壓器的一半。變壓器總損耗為總銅耗與磁芯損耗之和。 文章轉載自網絡,如有侵權,請聯系刪除。 |
| | 發布時間:2018.05.31 來源:廣東電源適配器廠家 |
| 上一個:家用和類似用途電器的安全 | 下一個:什么是掃頻循環 |
東莞市玖琪實業有限公司專業生產:電源適配器、充電器、LED驅動電源、車載充電器、開關電源等....