經驗估計緩沖網絡元件值 |
重新參考,除非Q1的關斷時間為已知(在較大集電極電流狀況以及選擇同了驅動電路結構的條件下),否則緩沖網絡中較佳的C1值就只能根據經驗來選擇,這可依據實測的集電極關斷電壓、關斷電流和關斷時間來決定。 C1較小值的選擇應滿足安全電壓范圍,此范圍在晶體管V=額定值與在集電極電流到零時T2的實際集電極電壓之間,這里至少有30%范圍的余量考慮緩沖網絡元件參數的變化及溫度影響。 驅動電路的設計、集電極電流的加載以及工作溫度都對Q1的開關速度有相當大的影響,應道免選用大的C1值,因為在反激作用結束后存儲在C1中的能量會在Q1下一個導接通期間消耗在R1上。 R1值的選擇是一個折中的選擇。在Q1導通邊沿,R1的低阻值將導致Q1上形成大電流,這帶來過度的導通損耗。另一方面,如果R1的阻值非常大,那么在極小的導通期間將不能使C1充分放電。 動態加載情況包括在滿載時和較大輸入電壓情況下的初始導通、寬和窄的脈沖條件以及輸出短路,建議在此情況下,要仔細檢查Q的集電極電流和集電極電壓波形。對于該類型的緩沖網絡來說,必須總是折中考慮R1和C1的選擇。
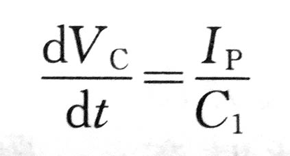
計算求得緩沖網絡元器件的值 在圖所示的D1、C1、R1組成的緩沖網絡的典型關斷波形。此例中,在集電極電流變為零的t2時刻,C1的選擇應該滿足:使Q1的集電極發射極電壓Vce是Vceo額定值的70%。 假設原邊電感在關斷沿期間可以保持原邊電流不變,Q1的集電極電流在t1-t2期間是線性減小的,那么在此時間段內流入緩沖網絡的電流Is會線性增加。 集電極電流的下降時間t1-t2可從生產廠商的數據表那里得到,也可通過在集電極的在較大電壓與較大電流值條件下的動態驅動狀態下測量得到。 假設已知集電極電流的下降時間為t1-t2,在Q1集電極電流下降期間(t1-t2),流過C1上的電流Is將會從中線性增大到,因此在這段時間內流過C1的平均電流為lp/2。若已知較大的原邊電流Ip與關斷時間t1-t2,那么較佳的C1值為:
假設集電極電流是線性斜坡變化的波形,則在關斷期間流過C1的平均電流就是峰值電流值的1/2,見圖。 如在t2的集電極電流變為零時,集電極電壓值不超過Vceo值的70%,那么:
式中,lp=較大的原邊電流; tf=Q1集電極電流的下降時間(t1-t2),單位為μs; Vceo=選定晶體管的額定值Vceo,V; C1=緩沖網絡電容,μF。
文章轉載自網絡,如有侵權,請聯系刪除。 |
| | 發布時間:2018.09.14 來源:電源適配器廠家 |
| 上一個:緩沖網絡工作原理 | 下一個:充電器組合低功耗緩沖二極管電路 |
東莞市玖琪實業有限公司專業生產:電源適配器、充電器、LED驅動電源、車載充電器、開關電源等....